أخبار المحافظات

وفق سعر صرف 530 ريالًا .. ننشر قائمة تسعيرة رسمية جديدة للمواد الغذائية


       

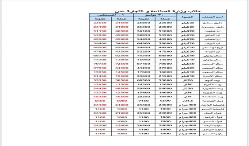
أصدر مكتب وزارة الصناعة والتجارة في العاصمة عدن، مساء الجمعة، قائمة محدثة بأسعار المواد الغذائية والاستهلاكية الأساسية، والمقررة ليوم السبت الموافق 1 أغسطس 2025، بناءً على سعر صرف معتمد قدره 530 ريالًا يمنيًا مقابل الريال السعودي.

 

وشملت القائمة أكثر من 80 صنفًا غذائيًا واستهلاكيًا من السلع الأساسية، بينها الدقيق، الأرز، السكر، الزيوت، الحليب، البقوليات، الصابون، المنظفات، البيض، والدجاج، إلى جانب منتجات غذائية أخرى.

 

وأظهرت المقارنة بين تسعيرتي 30 يوليو و1 أغسطس انخفاضًا ملحوظًا في أسعار بعض المواد، خاصة الدقيق والسكر والزيوت ومنتجات الألبان، فيما ظلّت أسعار سلع أخرى مستقرة تقريبًا أو انخفضت بنسبة محدودة.

 

وأكد المكتب أن هذه التسعيرة تأتي استجابة لتحسن سعر صرف العملة المحلية أمام العملات الأجنبية، وتماشيًا مع توجيهات الحكومة الهادفة إلى كبح جماح الأسعار وتخفيف الأعباء المعيشية عن المواطنين.

 

كما دعا المكتب كافة التجار وأصحاب المحلات التجارية إلى الالتزام بالتسعيرة الرسمية الجديدة، محذرًا من اتخاذ إجراءات قانونية صارمة بحق من يخالف أو يتلاعب بالأسعار، ومؤكدًا استمرار النزولات الميدانية والرقابة في الأسواق.

 

من جانبهم، أعرب مواطنون في عدد من مديريات محافظة عدن عن أملهم في أن تُطبَّق هذه التسعيرة بجدية على أرض الواقع، مشيرين إلى أن الكثير من التجار لا يزالون يبيعون بالأسعار القديمة رغم انخفاض الصرف، مما يضع التساؤل حول مدى فعالية الرقابة وقدرة الوزارة على تنفيذ قراراتها.

 

وفي الختام، أكدت وزارة الصناعة والتجارة أن التسعيرة قابلة للتحديث بشكل دوري بحسب التغيرات في أسعار الصرف والمواد الخام، داعية المواطنين إلى الإبلاغ عن أي مخالفات عبر الأرقام الرسمية المعتمدة.